# 三角函数的正交性

参考视频

图片

给出一个周期函数,能否表示为傅里叶级数,而傅里叶级数中的每一个参数是怎么来的?
之后系列第一个问题的回答是:

# 三角函数系

{0,1,sinx,cosx,sin2x,cos2x,,sinnx,cosnx}{sin0x,cos0x,sin2x,cos2x,,sinnx,cosnx}\{0, 1, \sin x, \cos x, \sin 2x, \cos 2x, \ldots, \sin nx, \cos nx \} \\ \Downarrow \\ \{ \sin 0x, \cos 0x, \sin 2x, \cos 2x, \ldots, \sin nx, \cos nx \}

# 正交

ππsinnxcosmxdx=0(nm)\int_{-\pi}^{\pi} \sin nx \cos mx \, dx = 0 \quad (n \neq m)

注:当 n=mn = m 时,上式仍然为零。

ππcosnxcosmxdx=0(nm)\int_{-\pi}^{\pi} \cos nx \cos mx \, dx = 0 \quad (n \neq m)

注:当 n=mn = m 时,上式为 π\pi

图片

图片

a=(1,2,5)b=(1,2,1)ab=11+2251=0\vec{a} = (1,2,5) \\ \vec{b} = (1,2,-1) \\ \vec{a} \cdot \vec{b} = 1 \cdot 1 + 2 \cdot 2 - 5 \cdot 1 = 0

推广得

a=(a1,a2,a3,,an)b=(b1,b2,,bn)ab=a1b1+a2b2++anbn=i=1naibi=0\vec{a} = (a_1, a_2, a_3, \ldots, a_n) \\ \vec{b} = (b_1, b_2, \ldots, b_n) \\ \vec{a} \cdot \vec{b} = a_1 b_1 + a_2 b_2 + \ldots + a_n b_n = \sum_{i=1}^{n} a_i b_i = 0

继续推广

a=f(x)b=g(x)a = f(x) \\ b = g(x)

图片

加和变成取积分,得到

ab=x0x1f(x)g(x)dx=0a \cdot b = \int_{x_0}^{x_1} f(x) g(x) dx = 0

这样也称为正交

# 周期为 2π2\pi 的函数展开为傅里叶级数

参考视频

T=2πf(x)=f(x+2π)T = 2\pi f(x) = f(x + 2\pi)

展开得

f(x)=n=0ancosnx+n=0bnsinnxf(x) = \sum_{n=0}^{\infty} a_n \cos nx + \sum_{n=0}^{\infty} b_n \sin nx

而教科书上一般是:

f(x)=a02+n=1(ancosnx+bnsinnx)f(x) = \frac{a_0}{2} + \sum_{n=1}^{\infty} (a_n \cos nx + b_n \sin nx)


两者是等价得,证明如下:

f(x)=n=0ancosnx+n=0bnsinnx=a0cos0x+n=1ancosnx+b0sin0x+n=1bnsinnx=a0+n=1ancosnx+n=1bnsinnxf(x) = \sum_{n=0}^{\infty} a_n \cos nx + \sum_{n=0}^{\infty} b_n \sin nx = a_0cos0x + \sum_{n=1}^{\infty} a_n \cos nx + b_0sin0x + \sum_{n=1}^{\infty} b_n \sin nx = a_0 + \sum_{n=1}^{\infty} a_n \cos nx + \sum_{n=1}^{\infty} b_n \sin nx

图片

ππf(x)dx=a0ππdx=a0xππ=2πa0=12πππf(x)dx\int_{-\pi}^{\pi}f(x)dx=a_0\int_{-\pi}^{\pi}dx=a_0x|_{-\pi}^{\pi}=2\pi \\ \Rightarrow a_0=\frac{1}{2\pi}\int_{-\pi}^{\pi}f(x)dx

如果在推导过程中把a0a_0 变成a02\frac{a_0}{2},那么最终得到

a0=1πππf(x)dxa_0 = \frac{1}{\pi} \int_{-\pi}^{\pi} f(x)dx

这样看起来更舒服,而且和下面系数ana_n 的数学表达形式一致


图片

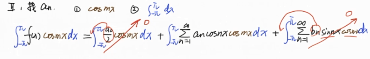
ππf(x)cosmxdx=ππn=1ancosnxcosmxdx\int_{-\pi}^{\pi}f(x)cosmxdx= \int_{-\pi}^{\pi}\sum_{n=1}^{\infty}a_n cosnx cosmx dx

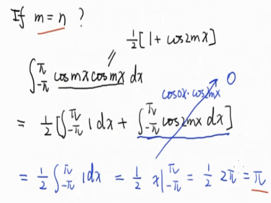
由于三角函数系得正交性,只有 m=n 时,右边得式子才不为零,即

ππf(x)cosmxdx=ππancosnxcosnxdx=anππcos2nxdx=anπan=1πππf(x)cosnxdx\int_{-\pi}^{\pi}f(x)cosmxdx= \int_{-\pi}^{\pi}a_n cosnx cosnx dx = a_n \int_{-\pi}^{\pi}cos^2nx dx = a_n\pi \Rightarrow a_n = \frac{1}{\pi}\int_{-\pi}^{\pi}f(x)cosnxdx

同理得:

bn=1πππf(x)sinnxdxb_n = \frac{1}{\pi}\int_{-\pi}^{\pi} f(x) \sin nx dx


总结

T=2πf(x)=f(x+2π)T = 2\pi f(x) = f(x + 2\pi)

展开得

f(x)=a02+n=1(ancosnx+bnsinnx)f(x) = \frac{a_0}{2} + \sum_{n=1}^{\infty} (a_n \cos nx + b_n \sin nx)

其中

a0=12πππf(x)dxan=1πππf(x)cosnxdxbn=1πππf(x)sinnxdxa_0 =\frac{1}{2\pi}\int_{-\pi}^{\pi}f(x)dx \\ a_n = \frac{1}{\pi}\int_{-\pi}^{\pi}f(x)cosnxdx \\ b_n = \frac{1}{\pi}\int_{-\pi}^{\pi} f(x) \sin nx dx

# 周期为 2L2L 的函数展开为傅里叶级数

参考视频

f(t)=f(t+2L)f(t) = f(t + 2L)

换元

x=πLtt=Lπxx = \frac{\pi}{L} t \quad \Rightarrow \quad t = \frac{L}{\pi} x

tt xx
2L2L 2π2\pi
4L4L 4π4\pi
00 00

函数 g(x)g(x) 表达为 f(t)f(t) 后,周期T=2πT=2\pi,我们得到以下等式:

f(t)=f(Lπx)g(x)f(t) = f\left(\frac{L}{\pi} x\right) \Leftrightarrow g(x)

其中 g(x)g(x) 的周期 T=2πT=2\pi 为:

g(x)=g(x+2π)g(x) = g(x + 2\pi)

图片


g(x)=a02+n=1(ancos(nx)+bnsin(nx))a0=1πππg(x)dxan=1πππg(x)cos(nx)dxbn=1πππg(x)sin(nx)dxg(x) = \frac{a_0}{2} + \sum_{n=1}^{\infty} \left( a_n \cos(nx) + b_n \sin(nx) \right) \\ a_0 = \frac{1}{\pi} \int_{-\pi}^{\pi} g(x) dx \\ a_n = \frac{1}{\pi} \int_{-\pi}^{\pi} g(x) \cos(nx) dx \\ b_n = \frac{1}{\pi} \int_{-\pi}^{\pi} g(x) \sin(nx) dx \\

x=πLtcos(nx)=cos(nπLt)sin(nx)=sin(nπLt)g(x)=f(t)ππdx=LLd(πLt)x = \frac{\pi}{L} t\cos(nx) = \cos\left(n \frac{\pi}{L} t\right)\sin(nx) = \sin\left(n \frac{\pi}{L} t\right)g(x) = f(t)\int_{-\pi}^{\pi} dx = \int_{-L}^{L} d\left( \frac{\pi}{L} t \right)

xtπLπL\begin{array}{|c|c|} \hline x & t \\ \hline -\pi & -L \\ \hline \pi & L \\ \hline \end{array}

1πππdx=1ππLLLdt=1LLLdt\frac{1}{\pi} \int_{-\pi}^{\pi} dx = \frac{1}{\pi} \cdot \frac{\pi}{L} \int_{-L}^{L} dt = \frac{1}{L} \int_{-L}^{L} dt


g(x)=a02+n=1(ancos(nx)+bnsin(nx))f(t)=a02+n=1(ancos(nπLt)+bnsin(nπLt))g(x) = \frac{a_0}{2} + \sum_{n=1}^{\infty} \left( a_n \cos(nx) + b_n \sin(nx) \right) \\ \Rightarrow f(t) = \frac{a_0}{2} + \sum_{n=1}^{\infty} \left( a_n \cos\left(n \frac{\pi}{L} t\right) + b_n \sin\left(n \frac{\pi}{L} t\right) \right)

a0=1πππg(x)dxa0=1LLLf(t)dtan=1πππg(x)cos(nx)dxan=1LLLf(t)cos(nπLt)dtbn=1πππg(x)sin(nx)dxbn=1LLLf(t)sin(nπLt)dta_0 = \frac{1}{\pi} \int_{-\pi}^{\pi} g(x) \, dx \Rightarrow a_0 = \frac{1}{L} \int_{-L}^{L} f(t) \, dt \\ a_n = \frac{1}{\pi} \int_{-\pi}^{\pi} g(x) \cos(nx) \, dx \Rightarrow a_n = \frac{1}{L} \int_{-L}^{L} f(t) \cos\left(n \frac{\pi}{L} t\right) \, dt \\ b_n = \frac{1}{\pi} \int_{-\pi}^{\pi} g(x) \sin(nx) \, dx \Rightarrow b_n = \frac{1}{L} \int_{-L}^{L} f(t) \sin\left(n \frac{\pi}{L} t\right) \, dt


工程中:时间 tt00 开始,周期为 T=2LT = 2L,角频率为 ω=πL=2πT\omega = \frac{\pi}{L} = \frac{2\pi}{T}

LLdt02Ldt0Tdt \int_{-L}^{L} dt \rightarrow \int_{0}^{2L} dt \rightarrow \int_{0}^{T} dt

f(t)=a02+n=1(ancos(nωt)+bnsin(nωt)) f(t) = \frac{a_0}{2} + \sum_{n=1}^{\infty} \left( a_n \cos(n \omega t) + b_n \sin(n \omega t) \right)

a0=2T0Tf(t)dt a_0 = \frac{2}{T} \int_{0}^{T} f(t) \, dt

an=2T0Tf(t)cos(nωt)dt a_n = \frac{2}{T} \int_{0}^{T} f(t) \cos(n \omega t) \, dt

bn=2T0Tf(t)sin(nωt)dt b_n = \frac{2}{T} \int_{0}^{T} f(t) \sin(n \omega t) \, dt

但是当 TT \rightarrow \infty 时,f(t)f(t) 就不再为周期函数。

# 傅里叶级数的复数形式

参考视频

  • 角频率:

    ω=πL=2πT\omega = \frac{\pi}{L} = \frac{2\pi}{T}

  • 积分关系:

    LLdt02Ldt0Tdt\int_{-L}^{L} dt \rightarrow \int_{0}^{2L} dt \rightarrow \int_{0}^{T} dt

  • 函数表示:

    f(t)=a02+n=1(ancos(nωt)+bnsin(nωt))f(t) = \frac{a_0}{2} + \sum_{n=1}^{\infty} \left( a_n \cos(n \omega t) + b_n \sin(n \omega t) \right)

  • 系数计算:

    a0=2T0Tf(t)dta_0 = \frac{2}{T} \int_{0}^{T} f(t) \, dt

    an=2T0Tf(t)cos(nωt)dta_n = \frac{2}{T} \int_{0}^{T} f(t) \cos(n \omega t) \, dt

    bn=2T0Tf(t)sin(nωt)dtb_n = \frac{2}{T} \int_{0}^{T} f(t) \sin(n \omega t) \, dt

欧拉公式

eiθ=cosθ+isinθcosθ=12(eiθ+eiθ)sinθ=12i(eiθeiθ)e^{i\theta} = \cos\theta + i\sin\theta \\ \Downarrow \\ \cos\theta = \frac{1}{2} \left( e^{i\theta} + e^{-i\theta} \right) \\ \sin\theta = -\frac{1}{2i} \left( e^{i\theta} - e^{-i\theta} \right)


  • 将函数f(t)f(t) 重新表示为复数形式:

    f(t)=a02+n=1[an12(einωt+einωt)12ibn(einωteinωt)]f(t) = \frac{a_0}{2} + \sum_{n=1}^{\infty} \left[ a_n \frac{1}{2}\left( e^{i n \omega t} + e^{-i n \omega t} \right) - \frac{1}{2i} b_n \left( e^{i n \omega t} - e^{-i n \omega t} \right) \right]

  • 进一步整理得到:

    f(t)=a02+n=1[anibn2einωt+an+ibn2einωt]f(t) = \frac{a_0}{2} + \sum_{n=1}^{\infty} \left[\frac{a_n - i b_n}{2} e^{i n \omega t} + \frac{a_n + i b_n}{2} e^{-i n \omega t}\right]

  • 最终表示为:

    f(t)=Cneinωtf(t) = \sum_{-\infty}^{\infty} C_n e^{i n \omega t}

系数CnC_n

Cn={a02,n=0anibn2,n=1,2,3,an+ibn2,n=1,2,3,C_n = \begin{cases} \frac{a_0}{2}, & n = 0 \\ \frac{a_n - i b_n}{2}, & n = 1, 2, 3, \ldots \\ \frac{a_{-n} + i b_{-n}}{2}, & n = -1, -2, -3, \ldots \end{cases}

  • n=0n = 0:

    C0=a02=1T0Tf(t)dtC_0 = \frac{a_0}{2} = \frac{1}{T} \int_{0}^{T} f(t) \, dt

  • n=1,2,3,n = 1, 2, 3, \ldots:

    Cn=12(2T0Tf(t)cos(nωt)dti2T0Tf(t)sin(nωt)dt)C_n = \frac{1}{2} \left( \frac{2}{T} \int_{0}^{T} f(t) \cos(n \omega t) \, dt - i \frac{2}{T} \int_{0}^{T} f(t) \sin(n \omega t) \, dt \right)

    =1T0Tf(t)(cos(nωt)isin(nωt))dt= \frac{1}{T} \int_{0}^{T} f(t) \left( \cos(n \omega t) - i \sin(n \omega t) \right) dt

  • n=1,2,3,n = -1, -2, -3, \ldots:

    Cn=12[2T0Tf(t)cos(nωt)dt+i2T0Tf(t)sin(nωt)dt]C_n = \frac{1}{2} \left[ \frac{2}{T} \int_{0}^{T} f(t) \cos(-n \omega t) \, dt + i \frac{2}{T} \int_{0}^{T} f(t) \sin(-n \omega t) \, dt \right]

    =1T0Tf(t)[cos(nωt)+isin(nωt)]dt= \frac{1}{T} \int_{0}^{T} f(t) \left[ \cos(-n \omega t) + i \sin(-n \omega t) \right] dt


f(t)=f(t+T)f(t) = f(t + T)

f(t)=Cneinωtf(t) = \sum_{-\infty}^{\infty} C_n e^{i n \omega t}

Cn=1T0Tf(t)einωtdtC_n = \frac{1}{T} \int_{0}^{T} f(t) e^{-i n \omega t} \, dt